Посмотрите, что придумали буржуины...

Обсуждаем безопасность полётов

Модераторы: wllad, air, pchyolka, troll, elf, John

Посмотрите, что придумали буржуины...

Сообщение Tolik » Пн мар 06, 2006 3:54 pm

http://www.bmwgtn.ru/carsystem/airbag1.php


Цитата:"Несмотря на постоянную критику подушек безопасности, они по-прежнему остаются весьма эффективными помощниками ремней безопасности. А как же пешеходы, которые никак не защищены от «железных» участников дорожного движения? Исследования специалистов компании Autoliv свидетельствуют о том, что риск гибели пешехода при ударе о капот автомобиля, двигающегося со скоростью всего 40 км/ч, достигает 100%. Для решения этой проблемы компания Ford активно работает над созданием подушек безопасности для пешеходов. Эта система защиты включает две подушки – большую, охватывающую переднюю часть автомобиля (бампер, радиаторную решетку, фары и кромку капота) и маленькую, которая размещается у лобового стекла, защищая голову пешехода. Опасное приближение к пешеходам и животным будет распознаваться специальными датчиками. Открываться эти подушки будут непосредственно перед столкновением. "

Ну как?
Вложения
airbag-10s.jpg
airbag-10s.jpg (11.46 КБ) Просмотров: 7857
Последний раз редактировалось Tolik Пн мар 06, 2006 5:32 pm, всего редактировалось 1 раз.
I fly becouse I can!
http://windhunters.in.ua/
Аватара пользователя
Tolik
 
Сообщения: 902
Зарегистрирован: Чт янв 26, 2006 2:37 pm
Откуда: Нежин

еще

Сообщение Tolik » Пн мар 06, 2006 5:04 pm

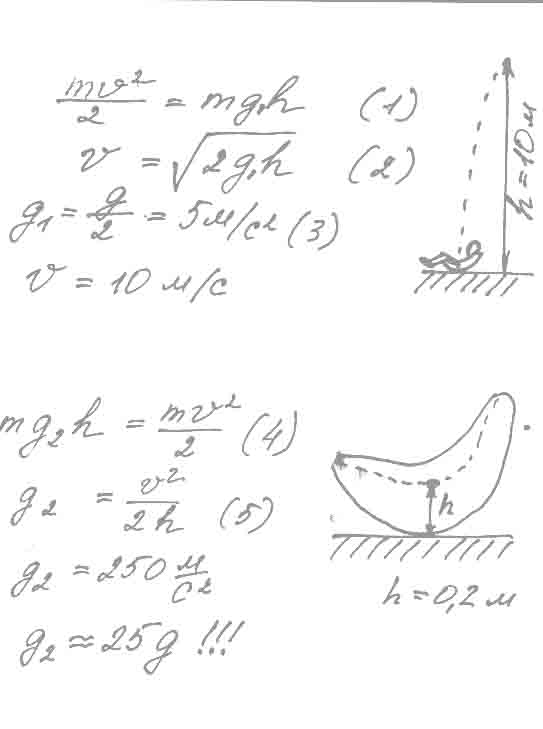
Учебник Физики . 8-й класс, по моему. Тема "Кинетическая и потенциальная энергия".

Рассмотрите верхнюю часть рисунка.
Высота падения тела h=10м. g1 - половина ускорения свободного падения ( даже сложеный параплан все равно будет тормозить падение) и равно (прибл) 5 м/с в кв. Очевидно,что скорость падения v в момент касания земли равна 10 м/с.

Рассмотрим нижнюю часть рисунка:

Нам необходимо найти "ускорение торможения" тела g2 с высоты h=0,2м - высота стандартного протектора "нормальной" фирмы.
Очевидно, что " ускорение торможения", а это не что иное, как
ПЕРЕГРУЗКА = 25g !!!

Не трудно посчитать, что при высоте h=1м она составит всего 5g!

Это все математическое обоснование очевидных вещей, при чем в идеальных условиях, Например , что протектор ужмется четко до нуля, отсутствие камней и т.д. Внесение любых дополнительных переменных только ужесточит картину.
Лично я перегрузку в 25g со своими 120-ю не переживу. А 5g еще куда ни шло.

Вывод! Летать можно, падать-нет! :D
Вложения
buh.jpg
buh.jpg (32.31 КБ) Просмотров: 7877
I fly becouse I can!
http://windhunters.in.ua/
Аватара пользователя
Tolik
 
Сообщения: 902
Зарегистрирован: Чт янв 26, 2006 2:37 pm
Откуда: Нежин

ВЫВОД!!!!

Сообщение Tolik » Пн мар 06, 2006 6:57 pm

Последствия вышеначертаного.

БЕЗОПАСНАЯ ПОДВЕСКА!!!!

Без датчиков и пиропатронов!!!!!!!
Простота конструкции, дешевизна в продаже (чего все и хотели)!!!

Итак в чем идея? На мысль меня натолкнула дочкина палатка. Ее из сумки достаешь, она: бздынь, и разворачивается. Там вшиты стальные проволочки, нормальное состояние которых - развернутое.
Разворачивается быстро - окошечко из сетки.
Давайте идею перенесем на подвеску: материал - прочная ткань, пропускающая воздух, система простейших клапанов - это вместо окошечка из сетки, чтоб быстро воздух заходил и не выходил Нужно додумать быстроразворачивающийся каркас и метр высоты для торможения в кармане.
Черт . уже вижу две проблемы. поток обтекающего воздуха может не дать подушке раскрыться , нужен мощный каркас, и еще: если подушку раскрыть высоко, можно стать "воланчиком", если купол совсем сложился и не тормозит. А это совсем не интересно.

Вобщем идея есть. Можно хаять

ЗЫ. Пчелка, ты ж не лишена инженерных способностей...
ЗЗЫ. АЙР, ну когда уже можно будет приехать?
I fly becouse I can!
http://windhunters.in.ua/
Аватара пользователя
Tolik
 
Сообщения: 902
Зарегистрирован: Чт янв 26, 2006 2:37 pm
Откуда: Нежин

Re: ВЫВОД!!!!

Сообщение troll » Пн мар 06, 2006 8:13 pm

Tolik писал(а):Давайте идею перенесем на подвеску: материал - прочная ткань, пропускающая воздух, система простейших клапанов - это вместо окошечка из сетки, чтоб быстро воздух заходил и не выходил Нужно додумать быстроразворачивающийся каркас и метр высоты для торможения в кармане.


В общем, изобрели очередной... муссбэг.
Это протектор, действующий по вышеуказанному принципу (если опустить некоторые детали).
Толик - молодец, догадался.

Данный протектор применяется, например, тут:
http://nearbirds.com/equipment/harnesse ... /index.php
ВНИМАНИЕ!!!
Мои высказывания могут носить шуточный характер.

---В воздухе безопасно. Убивает земля---
Аватара пользователя
troll
 
Сообщения: 1632
Зарегистрирован: Вт ноя 22, 2005 6:30 pm
Откуда: Kyiv

Re: еще

Сообщение troll » Вт мар 07, 2006 12:47 pm

Tolik писал(а): Лично я перегрузку в 25g со своими 120-ю не переживу. А 5g еще куда ни шло.

Вывод! Летать можно, падать-нет! :D



Выдержишь!
Все зависит от времени действия перегрузки и направления.

Рассчет у тебя - упрощен. Там еще масса факторов.

Есть подозрение, что обтекающий поток не даст системе раскрыться. Т.е. нужна система принудительного раскрытия. Получаем тот же айрбег :)

Перечитай еще раз ту сслыку, что я давал - там есть много интересного.
ВНИМАНИЕ!!!
Мои высказывания могут носить шуточный характер.

---В воздухе безопасно. Убивает земля---
Аватара пользователя
troll
 
Сообщения: 1632
Зарегистрирован: Вт ноя 22, 2005 6:30 pm
Откуда: Kyiv


Вернуться в Безопасность

Кто сейчас на конференции

Сейчас этот форум просматривают: нет зарегистрированных пользователей и гости: 2

cron